Your Complete Math & English
Homeschool Curriculum
We diagnose gaps, teach every lesson step-by-step, and handle all practice and grading. Focus on supporting your child, not fighting over algebra.
What Standard Learning Does for Your Child
A simple, safe system that diagnoses, teaches, and reviews, without you planning or grading a single lesson.
Diagnose
A short assessment finds strengths and gaps.
Placement
We start exactly at your child's level — not too easy, not overwhelming.
Learn
Our AI explains concepts the same way a real tutor would.
Practice with Feedback
Students solve open-ended problems, and we guide them through mistakes.
Spaced Review
We revisit concepts just when they're about to be forgotten.
How This Looks in a Real Day
We handle the heavy lifting of teaching and grading, so you can focus on supporting your child.
Step 1 – Daily Lesson
20–40 minutesChild logs in, AI tutor picks the next concept in math or English and teaches it step‑by‑step.
Step 2 – Guided Practice
At their own paceThey solve open‑ended problems or writing tasks; AI explains every mistake and gives similar problems.
Step 3 – Weekly Review & Report
AutomatedSystem schedules review of past topics and sends you a simple report you can save for your records.
Not a Drill App.
A Real Tutor, Powered by AI.
Sees each step of your child’s work (not just the final answer)
Explains why they’re stuck, in plain language
Asks guiding questions, not just “here’s the solution”
Generates fresh problems until they can do it on their own
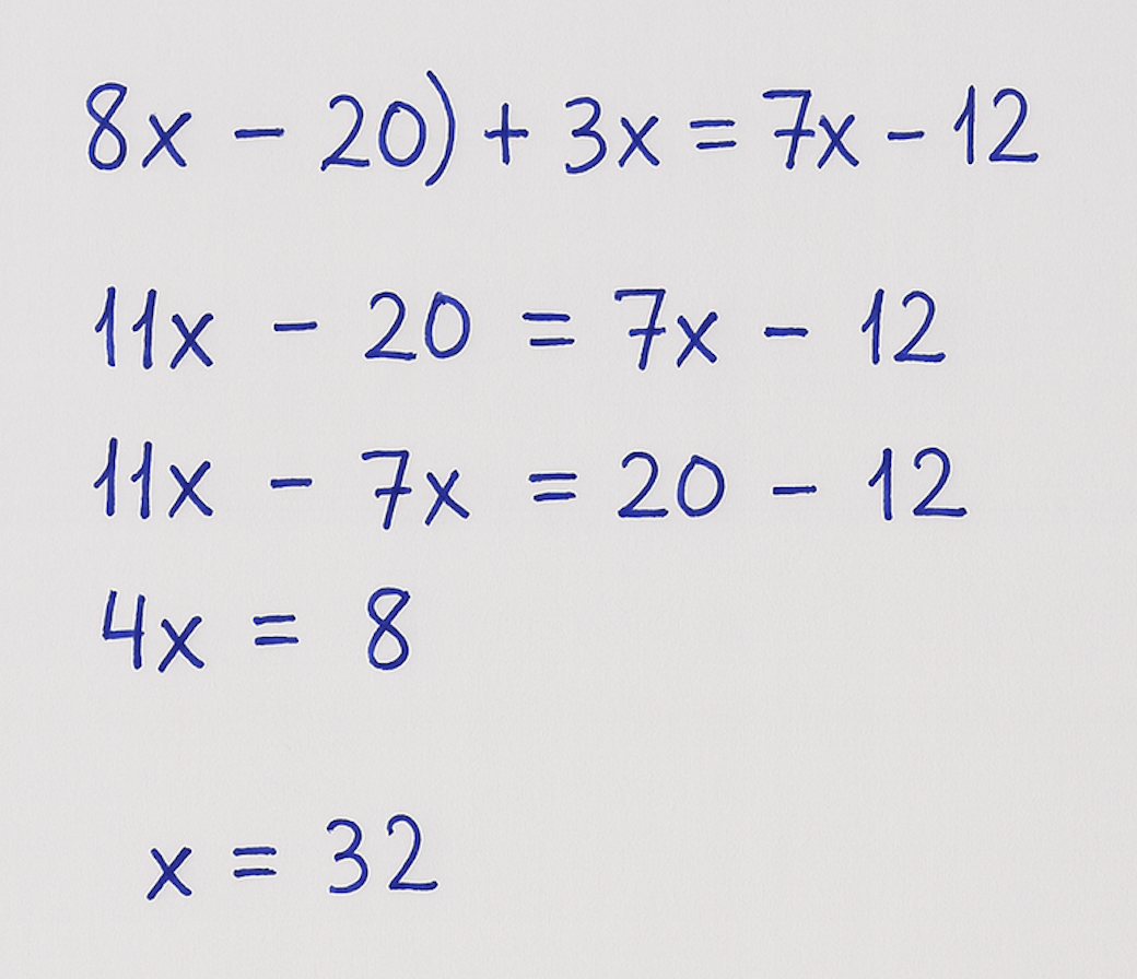
Problem
Student's Work
Answer submitted: x = 32
AI Feedback
You correctly simplified to 4x = 8, but in your last step you multiplied by 4 instead of dividing. Let's isolate x together the right way.
Learning Report
Weekly Summary
"Struggling with translating text to variables. Next: scaffolding exercises."
See Real Progress.
Every week you get a clear snapshot of how your child is really doing. You're never guessing from a single grade or rushed homework session.
- What your child mastered
- What they’re struggling with — and why
- What we’re teaching next
- A clear path forward, not vague grades
The Smarter Way to Homeschool
Stop spending your nights grading and your days re-learning Algebra. Let us handle the heavy lifting.
Traditional Curriculum
Textbooks, workbooks, & manual tracking
- You plan & grade every lesson
- You must re-learn complex topics
- Feedback is delayed until you check it
- "Teacher mode" strains the relationship
Standard Learning
AI-Powered Homeschool Partner
One subscription for the whole family.
- Zero planning or grading required
- AI teaches concepts & closes gaps
- Instant feedback builds confidence
- You stay the parent, not the enforcer
Join the Beta
We're onboarding families gradually to provide a quality experience.